Susceptibility to vaccine-preventable diseases in four districts of Xaysomboun Province, Lao People’s Democratic Republic

Blood draw from participant, Xaysomboun province

VPD laboratory staff; Siriphone Virachith, Vilaysone Khounvisith, Antony Black.

Collaborating institutions; Lao Tropical Public Health Institute, Luxembourg Institute of Health.

Communications; these findings were reported directly to the Xaysomboun provincial health office and have been accepted as a manuscript for publication in Vaccines Journal.

Background

Xaysomboun Province is a mountainous province located 200 km north of Vientiane Capital with around 85,000 inhabitants. The population is ethnically diverse with Hmong (53.7%); Lao- Tai (19.4%); Mone-Khmer (16.7%) and other ethnicities (10.2%). It has poor infrastructure and limited health care facilities. In 2017, the neonatal, infant, and under-5 mortality rates in the province were 27, 47 and 51 deaths per 1,000 live births respectively and several other health indicators were below the national average. For example, in 2017, despite 66.7% of deliveries taking place at healthcare facilities, only 29.1% of all newborns received HBV vaccination, compared to 60.7% nationwide. The coverage for some other vaccines in Xaysomboun was the lowest nationwide; DTP3 coverage was 22.4%, compared to 60.8% nationwide and MR1 coverage was 39.7%, compared to 66.0% nationwide. Estimates of protection against tetanus in women 15-49 years of age in 2017 were also the lowest nationwide at 17.8%, compared to 48.9%. The aim of the current study was to characterize age-specific vaccination and/or exposure to HBV, measles, rubella and tetanus of the population in Xaysomboun and to provide evidence-based data to inform vaccination policy and other control measures.

Methods

Participants aged 5 years and older were randomly selected from 4 districts in 2020. From each enrolled participant, the demographic data and 5 mL of blood sample were taken. HBV surface antigen (HBsAg) and antibodies against HBV, measles, rubella and tetanus were detected by ELISA. A total of 363 participants (age 5 to 80 years) were included.

Results

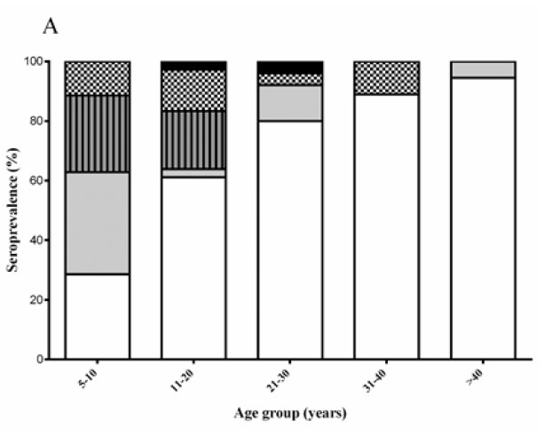
HBV serology indicative of vaccination (anti-HBs+/ anti-HBc-) was only 29.2% among those aged 5-10 years, decreasing to 17.6% in 10-20 years of age, similar to our previous findings in other provinces. These low levels likely reflect low vaccination coverage in addition to the waning of antibodies and/or low vaccine immunogenicity. Importantly, vaccinated individuals without anti-HBs antibodies may still be protected by B cell memory and other mechanisms. Indeed, there was a significant decrease in HBV exposure and chronic infection in those aged less than 11 years, reflecting the positive impact of introducing routine HBV immunization in Lao infants since 2001. Furthermore, we found only 1.4% HBsAg seroprevalence in children aged 5-10 years, similar to some previous reports in Lao PDR but lower than others. A similar decrease in HBV exposure and chronic infection has been seen in previously endemic countries such as Taiwan and Thailand, following the introduction of the HBV vaccine for newborns and infants. Compared to our previous study in Saravan, adolescents aged 11-20 years had a similar but slightly higher rate of HBV exposure (4.3% versus 2.8%), possibly reflecting a later rollout of vaccination in Xaysomboun province at the beginning of HBV vaccine introduction. Our study also found that women between the ages of 21-40, when child-birth is common, had a high HBsAg infection rate (12.2-16.7%), emphasizing the importance of the HBV vaccine 24 hours after birth and facility-based deliveries. Facility based births and timely HBV birth-dose vaccination have been shown to be particularly challenging in rural areas of Lao PDR. The higher infection rate in males than in females, especially in the older age groups, is seen in other studies in Lao PDR and elsewhere, although the reasons are unknown and could include biological as well as societal factors. The reason why Thathom district had a higher percentage of HBsAg (15.2%) than other districts is unknown but could include specific risk factors e.g. tattooing. This requires further investigation.

Age-stratified Hepatitis B serology.

Seroprotection against measles was as high as 74.6%, but nevertheless not high enough to reach herd immunity (93-95%). In children aged 5-10 years, measles seroprotection was only 41.7%, which is in line with only 37.9% MR1 coverage rate of children aged 12-23 months in Xaysomboun province in 2017 and similar to our previous study in the south of Lao PDR.

Similar low levels in other settings are associated with high risk of measles outbreaks. Higher titres and seroprevalence in older age groups could be due to wild type exposure or supplementary immunization activities (SIA) which used monovalent or bivalent (MR) vaccine since 2001 until 2017. Although these SIA only targeted people as young as 9 months up until the age of 19 years, the older participants in our study would have had more chance to be vaccinated over the years. These data, together with the low routine infant vaccination coverage, indicate a need for further SIA in young age groups in addition to strengthening of the routine MR1 and MR2 vaccination.

Seroprotection against rubella in our study was higher than measles in all age groups with 91.2% overall. This is similar to other provinces and high seroprevalence in children could reflect wild-type rubella circulation, or vaccination – suggesting a difference in immunogenicity between measles and rubella components of the MR vaccine. In contrast, the high seroprevalence in adults born before introduction of rubella vaccination in 2011 is likely to be due to rubella virus infection or SIA for younger adults.

Age-stratified anti-measles and anti-rubella median antibody titres by age group. The horizontal dotted line represents the positivity cut-off for anti-measles (275 IU/L) and anti-rubella (11IU/mL) antibodies.

Overall seroprotection against tetanus was 47.4%, and was significantly higher in females (64.1%) than in males (20.6%, p<0.001). The high protection of females, particularly those aged 31 to 40 (97.2%), likely results from the policy to vaccinate women of childbearing age (15-49 years old). The high susceptibility of males to infection, similar to other countries, is concerning. Although there are no published data on tetanus cases in Xaysomboun province, assessment of the tetanus burden among the different sexes is warranted, with a view to strengthening vaccination and other control measures e.g. raising awareness, in males. The lower seroprotection in those who follow animism, as compared to Buddhism (p=0.003) is difficult to explain and warrants further investigation. It may reflect a distrust of animists for non-traditional medicine and/or low ANC attendance during pregnancy. Lastly, different levels of susceptibility between the districts may reflect variable vaccine coverage. The levels of tetanus antibodies that we find are low in comparison to neighbouring countries, particularly in adolescents and adults. In Thailand, 99% of adolescents aged 11-20 years had protective tetanus antibodies, compared to 45.9% in the current study. The higher antibody levels in Thailand likely result from the policy to have additional DTP boosters for males and females at 18 months and 4-6 years of age, a policy that is not implemented in Lao PDR.

Age-stratified tetanus seroprevalence status according to sex. (A) Male; (B) Female.

Conclusion

The high levels of HBV exposure and of chronic infection indicate that there will be a burden of liver disease in the future. Focusing on HBV vaccination at birth, and facility based deliveries is warranted. Although rubella seropositivity was high at all ages, measles seropositivity and antibody titres were low in young children. Further SIA should be considered, focusing on the young age groups, in addition to strengthening of routine infant vaccination. Lastly, although the overall seroprotection of females against tetanus was high, there is room for improvement in adolescents. Low seroprotection of males against tetanus may warrant booster doses.